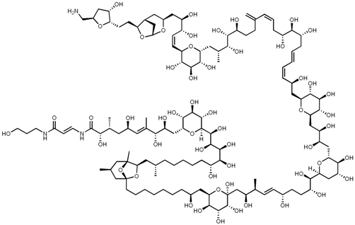
Palytoxin: Deadlier Than Fugu? – The Poison Review

Palytoxin: deadlier than fugu? | The Poison Review.

Palytoxin

Leave a comment